In the world of algebra, polynomials are the bridges that connect unknowns with knowns. Have you noticed how your score in a video game increases with each level you pass? Or how your savings grow month after month? Well, they don't change randomly; they follow a certain pattern, which is what polynomials are all about. For example, a second-order polynomial (highest exponent 2) like $2x^2+5x+2$ can represent how your score increases as you progress through a game, where $x$ is the game level. In the second chapter, you will find Polynomials, which are algebraic expressions of variables and coefficients - sound complex? Don't worry, we will break it down simply and logically, which will help you build your foundation in algebra. These NCERT Solutions for Class 9 on Polynomials guide learners through key concepts, such as the Remainder and Factor Theorems, with clarity.
This Story also Contains
When you understand polynomials, you hold the key to unlock many doors in algebra. This article on NCERT Solutions for Class 9 Maths offers clear, step-by-step solutions for the exercise problems. Students needing the Polynomials class 9 solutions will find this article useful. According to the latest NCERT syllabus, the Subject Matter Experts of Careers360 make these Polynomials class 9 NCERT solutions, ensuring that students can grasp the basic concepts effectively. Many teachers recommend NCERT Solutions because they closely match the exam pattern.
These NCERT Solutions for Class 9 Maths Chapter 2 Polynomials have been prepared by Careers360 experts to make learning simpler and to help you score better in exams. Students can download the complete Class 9 Maths Chapter 2 Polynomials Solutions PDF from the link provided below.
Here are the NCERT Class 9 Maths Chapter 2 Polynomials question answers with clear, detailed solutions.
| Polynomials Class 9 Question Answers Exercise: 2.1 Page number: 29 Total questions: 5 |
Question 1 (i): Is the following expression a polynomial in one variable? State reasons for your answer.
$4x^2 - 3x + 7$
Answer:
Yes, the polynomial $4x^2 - 3x + 7$ has only one variable, which is $x$.
Question 1 (ii): Is the following expression a polynomial in one variable? State reasons for your answer.
$y^2 + \sqrt2$
Answer:
YES
Given polynomial has only one variable, which is y.
Question 1(iii): Is the following expression a polynomial in one variable? State reasons for your answer.
$3\sqrt t + t\sqrt2$
Answer:
NO
Because we can observe that the exponent of variable t in term $3\sqrt t$ is $\frac{1}{2}$, which is not a whole number.
Therefore, this expression is not a polynomial.
Question 1 (iv): Is the following expression polynomial in one variable? State reasons for your answer.
$y + \frac{2}{y}$
Answer:
NO
Because we can observe that the exponent of variable y in the term $\frac{2}{y}$ is $-1$, which is not a whole number.
Therefore, this expression is not a polynomial.
Question 1 (v): Is the following expression a polynomial in one variable? State reasons for your answer.
$x^{10} + y^3 + t^{50}$
Answer:
NO
Because in the given polynomial $x^{10} + y^3 + t^{50}$ there are 3 variables which are x, y, t. That's why this is a polynomial in three variables, not in one variable.
Question 2 (i): Write the coefficients of $x^2$ in the following: $2 + x^2 +x$
Answer:
Coefficient of $x^2$ in polynomial $2 + x^2 +x$ is 1.
Question 2 (ii): Write the coefficients of $x^2$ in the following: $2 - x^2 + x^3$
Answer:
The coefficient of $x^2$ in the polynomial $2 - x^2 + x^3$ is -1.
Question 2 (iii): Write the coefficients of $x^2$ in the following: $\frac{\pi}{2}x^2 + x$
Answer:
Coefficient of $x^2$ in polynomial $\frac{\pi}{2}x^2 + x$ is $\frac{\pi}{2}$
Question 2(iv): Write the coefficients of $x^2$ in the following: $\sqrt2 x - 1$
Answer:
Coefficient of $x^2$ in polynomial $\sqrt2 x - 1$ is 0
Question 3: Give one example each of a binomial of degree 35, and of a monomial of degree 100.
Answer:
The degree of a polynomial is the highest power of the variable in the polynomial.
In a binomial, there are two terms
Therefore, a binomial of degree 35 is
Eg: $x^{35}+1$
In a monomial, there is only one term.
Therefore, a monomial of degree 100 can be written as $y^{100}$
Question 4(i): Write the degree the following polynomial: $5x^3 + 4x^2 + 7x$
Answer:
The degree of a polynomial is the highest power of the variable in the polynomial.
Therefore, the degree of the polynomial $5x^3 + 4x^2 + 7x$ is 3.
Question 4(ii): Write the degree of the following polynomial: $4 - y^2$
Answer:
The degree of a polynomial is the highest power of the variable in the polynomial.
Therefore, the degree of the polynomial $4 - y^2$ is 2.
Question 4 (iii): Write the degree of the following polynomial: $5t - \sqrt7$
Answer:
The degree of a polynomial is the highest power of the variable in the polynomial.
Therefore, the degree of the polynomial $5t - \sqrt7$ is 1
Question 4 (iv): Write the degree of the following polynomial: 3
Answer:
The degree of a polynomial is the highest power of the variable in the polynomial.
In this case, only a constant value of 3 is there, and the degree of a constant polynomial is always 0.
Question 5 (i): Classify the following as linear, quadratic and cubic polynomial: $x^2+x$
Answer:
Linear polynomial, quadratic polynomial, and cubic polynomial have their degrees as 1, 2, and 3, respectively
Given polynomial is $x^2+x$ with degree 2
Therefore, it is a quadratic polynomial.
Question 5 (ii): Classify the following as linear, quadratic and cubic polynomials: $x - x^3$
Answer:
Linear polynomial, quadratic polynomial, and cubic polynomial have their degrees as 1, 2, and 3, respectively
Given polynomial is $x - x^3$ with degree 3
Therefore, it is a cubic polynomial
Question 5 (iii): Classify the following as linear, quadratic and cubic polynomials: $y + y^2 + 4$
Answer:
Linear polynomial, quadratic polynomial, and cubic polynomial have their degrees as 1, 2, and 3, respectively
Given polynomial is $y + y^2 + 4$ with degree 2.
Therefore, it is a quadratic polynomial.
Question 5(iv): Classify the following as linear, quadratic and cubic polynomials: $1+x$
Answer:
Linear polynomial, quadratic polynomial, and cubic polynomial have their degrees as 1, 2, and 3, respectively
Given polynomial is $1 +x$ with degree 1
Therefore, it is a linear polynomial
Question 5 (v): Classify the following as linear, quadratic and cubic polynomial: $3t$
Answer:
Linear polynomial, quadratic polynomial, and cubic polynomial have their degrees as 1, 2, and 3, respectively
Given polynomial is $3t$ with degree 1
Therefore, it is a linear polynomial
Question 5 (vi): Classify the following as linear, quadratic and cubic polynomials: $r^2$
Answer:
Linear polynomial, quadratic polynomial, and cubic polynomial have their degrees as 1, 2, and 3, respectively
Given polynomial is $r^2$ with degree 2
Therefore, it is a quadratic polynomial
Question 5 (vii): Classify the following as linear, quadratic and cubic polynomials: $7x^3$
Answer:
Linear polynomial, quadratic polynomial, and cubic polynomial have their degrees as 1, 2, and 3, respectively
Given polynomial is $7x^3$ with degree 3
Therefore, it is a cubic polynomial.
|
Polynomials Class 9 Question Answers |
Question 1(i): Find the value of the polynomial $5x - 4x^2 +3$ at $x = 0$
Answer:
Given polynomial is $5x - 4x^2 +3$
Now, at $x = 0$ value is
$\Rightarrow 5(0)-4(0)^2+3 = 0 - 0 + 3 = 3$
Therefore, value of polynomial $5x - 4x^2 +3$ at x = 0 is 3
Question 1(ii): Find the value of the polynomial $5x - 4x^2 +3$ at $x = -1$
Answer:
Given polynomial is $5x - 4x^2 +3$
Now, at $x = -1$ value is
$\Rightarrow 5(-1)-4(-1)^2+3 = -5 - 4 + 3 = -6$
Therefore, value of polynomial $5x - 4x^2 +3$ at x = -1 is -6
Question 1 (iii): Find the value of the polynomial $5x - 4x^2 +3$ at $x = 2$
Answer:
Given polynomial is $5x - 4x^2 +3$
Now, at $x = 2$ value is
$\Rightarrow 5(2)-4(2)^2+3 = 10 - 16 + 3 = -3$
Therefore, value of polynomial $5x - 4x^2 +3$ at x = 2 is -3
Question 2 (i): Find p(0) , p(1) and p(2) for each of the following polynomials: $p(y)= y^2 - y + 1$
Answer:
Given a polynomial is
$p(y)= y^2 - y + 1$
Now,
$p(0)= (0)^2 - 0 + 1= 1$
$p(1)= (1)^2 - 1 + 1 = 1$
$p(2)= (2)^2 - 2 + 1 = 3$
Therefore, values of p(0), p(1) and p(2) are 1, 1 and 3, respectively.
Question 2 (ii): Find p(0) , p(1) and p(2) for each of the following polynomials: $p(t) = 2 + t + 2t^2 - t^3$
Answer:
Given a polynomial is
$p(t) = 2 + t + 2t^2 - t^3$
Now,
$p(0) = 2 + 0 + 2(0)^2 - (0)^3 = 2$
$p(1) = 2 + 1 + 2(1)^2 - (1)^3 = 4$
$p(2) = 2 + 2 + 2(2)^2 - (2)^3 = 4$
Therefore, values of p(0) , p(1) and p(2) are 2 , 4 and 4 respectively
Question 2 (iii): Find p(0), p(1) and p(2) for each of the following polynomials: $p(x) = x^3$
Answer:
Given a polynomial is
$p(x) = x^3$
Now,
$p(0) = (0)^3 =0$
$p(1) = (1)^3=1$
$p(2)=(2)^3=8$
Therefore, values of p(0) , p(1) and p(2) are 0 , 1 and 8 respectively
Question 2: (iv) Find p(0), p(1) and p(2) for each of the following polynomials: $p(x)= (x-1)(x+ 1)$
Answer:
Given a polynomial is
$p(x)=(x-1)(x+1)=x^2-1$
Now,
$p(0) = (0)^2-1 = -1$
$p(1) = (1)^2-1 = 0$
$p(2) = (2)^2-1 = 3$
Therefore, values of p(0) , p(1) and p(2) are -1 , 0 and 3 respectively
Question 3 (i): Verify whether the following are zeroes of the polynomial, indicated against it. $p(x) = 3x + 1, x = -\frac{1}{3}$
Answer:
Given polynomial is $p(x) = 3x + 1$
Now, at $x = -\frac{1}{3}$ it's value is
$p\left ( -\frac{1}{3} \right )=3\times \left ( -\frac{1}{3} \right )+1 = -1+1=0$
Therefore, yes $x = -\frac{1}{3}$ is a zero of polynomial $p(x) = 3x + 1$
Question 3(ii): Verify whether the following are zeroes of the polynomial, indicated against it. $p(x) = 5x - \pi, x = \frac{4}{5}$
Answer:
Given polynomial is $p(x) = 5x - \pi$
Now, at $x =\frac{4}{5}$ it's value is
$p\left ( \frac{4}{5} \right )=5\times \left ( \frac{4}{5} \right ) -\pi = 4-\pi \neq 0$
Therefore, no $x =\frac{4}{5}$ is not a zero of polynomial $p(x) = 5x - \pi$
Question 3 (iii): Verify whether the following are zeroes of the polynomial, indicated against it. $p(x) = x^2 -1, x = 1,-1$
Answer:
Given polynomial is $p(x) = x^2-1$
Now, at x = 1 its value is
$p(1) = (1)^2-1 = 1 -1 =0$
And at x = -1
$p(-1) = (-1)^2-1 = 1 -1 =0$
Therefore, yes x = 1 , -1 are zeros of polynomial $p(x) = x^2-1$
Question 3 (iv): Verify whether the following are zeroes of the polynomial, indicated against it. $p(x) = (x + 1)(x-2), x = -1,2$
Answer:
Given polynomial is $p(x) = (x+1)(x-2)$
Now, at x = 2, its value is
$p(2) = (2+1)(2-2) = 0$
And at x = -1
$p(-1) = (-1+1)(-1-2) = 0$
Therefore, yes x = 2 , -1 are zeros of polynomial $p(x) = (x+1)(x-2)$
Question 3. (v) Verify whether the following are zeroes of the polynomial, indicated against it. $p(x) = x^2. x =0$
Answer:
Given polynomial is $p(x) = x^2$
Now, at x = 0, its value is
$p(0) = (0)^2=0$
Therefore, yes x = 0 is a zeros of polynomial $p(x) = (x+1)(x-2)$
Question 3 (vi): Verify whether the following are zeroes of the polynomial, indicated against them. $p(x) = lx + m, \ x =- \frac{m}{l}$
Answer:
Given polynomial is $p(x) = lx+m$
Now, at $x = -\frac{m}{l}$ it's value is
$p\left ( -\frac{m}{l} \right )= l \times \left ( -\frac{m}{l} \right )+m = -m+m =0$
Therefore, yes $x = -\frac{m}{l}$ is a zeros of polynomial $p(x) = lx+m$
Question 3 (vii): Verify whether the following are zeroes of the polynomial, indicated against it. $p(x) = 3x^2 - 1, \ x = -\frac{1}{\sqrt3}, \frac{2}{\sqrt3}$
Answer:
Given polynomial is $p(x) = 3x^2-1$
Now, at $x = -\frac{1}{\sqrt3}$ it's value is
$p\left ( -\frac{1}{\sqrt3} \right )= 3 \times \left ( -\frac{1}{\sqrt3} \right )^2-1 = 1-1 =0$
And at $x = \frac{2}{\sqrt3}$
$p\left ( \frac{2}{\sqrt3} \right )= 3 \times \left ( \frac{2}{\sqrt3} \right )^2-1 = 4-1 =3\neq 0$
Therefore, $x = -\frac{1}{\sqrt3}$ is a zeros of polynomial $p(x) = 3x^2-1$ .
whereas $x = \frac{2}{\sqrt3}$ is not a zeros of polynomial $p(x) = 3x^2-1$
Question 3. (viii) Verify whether the following are zeroes of the polynomial, indicated against it. $p(x) = 2x +1,\ x = \frac{1}{2}$
Answer:
Given polynomial is $p(x) = 2x+1$
Now, at $x = \frac{1}{2}$ it's value is
$p\left ( \frac{1}{2} \right )= 2 \times \left ( \frac{1}{2} \right )+1 = 1+1=2 \neq 0$
Therefore, $x = \frac{1}{2}$ is not a zeros of polynomial $p(x) = 2x+1$
Question 4 (i): Find the zero of the polynomial in each of the following cases: $p(x)= x + 5$
Answer:
Given polynomial is $p(x)= x + 5$
Zero of a polynomial is the value of the variable at which the value of the polynomial is obtained as 0.
Now,
$p(x)=0$
$\Rightarrow x+5 = 0$
$\Rightarrow x=-5$
Therefore, x = -5 is the zero of polynomial $p(x)= x + 5$
Question 4 (ii): Find the zero of the polynomial in each of the following cases: $p(x) = x - 5$
Answer:
Given polynomial is $p(x)= x - 5$
Zero of a polynomial is the value of the variable at which the value of the polynomial is obtained as 0.
Now,
$p(x)=0$
$\Rightarrow x-5 = 0$
$\Rightarrow x=5$
Therefore, x = 5 is a zero of polynomial $p(x)= x - 5$
Question 4 (iii): Find the zero of the polynomial in each of the following cases: $p(x)= 2x + 5$
Answer:
Given polynomial is $p(x)= 2x + 5$
Zero of a polynomial is the value of the variable at which the value of the polynomial is obtained as 0.
Now,
$p(x)=0$
$\Rightarrow 2x+5 = 0$
$\Rightarrow x=-\frac{5}{2}$
Therefore, $x=-\frac{5}{2}$ is a zero of polynomial $p(x)= 2x + 5$
Question 4 (iv): Find the zero of the polynomial in each of the following cases: $p(x) = 3x - 2$
Answer:
Given polynomial is $p(x) = 3x - 2$
Zero of a polynomial is the value of the variable at which the value of the polynomial is obtained as 0.
Now,
$p(x)=0$
$\Rightarrow 3x-2 = 0$
$\Rightarrow x=\frac{2}{3}$
Therefore, $x=\frac{2}{3}$ is a zero of polynomial $p(x) = 3x - 2$
Question 4 (v): Find the zero of the polynomial in each of the following cases: $p(x) = 3x$
Answer:
Given polynomial is $p(x) = 3x$
Zero of a polynomial is the value of the variable at which the value of the polynomial is obtained as 0.
Now,
$p(x)=0$
$\Rightarrow 3x = 0$
$\Rightarrow x=0$
Therefore, $x=0$ is a zero of polynomial $p(x) = 3x$
Question 4 (vi): Find the zero of the polynomial in each of the following cases: $p(x) = ax, \ a\neq 0$
Answer:
Given polynomial is $p(x) = ax$
Zero of a polynomial is the value of the variable at which the value of the polynomial is obtained as 0.
Now,
$p(x)=0$
$\Rightarrow ax = 0$
$\Rightarrow x=0$
Therefore, $x=0$ is a zero of polynomial $p(x) = ax$
Question 4 (vii): Find the zero of the polynomial in each of the following cases: $p(x) = cx + d, c\neq 0, c,d$ are real numbers
Answer:
Given polynomial is $p(x) = cx+d$
Zero of a polynomial is the value of the variable at which the value of the polynomial is obtained as 0.
Now,
$p(x)=0$
$\Rightarrow cx+d = 0$
$\Rightarrow x=-\frac{d}{c}$
Therefore, $x=-\frac{d}{c}$ is a zero of polynomial $p(x) = cx+d$
|
Polynomials Class 9 Question Answers |
Question 1 (i): Determine which of the following polynomials has $(x + 1)$ a factor: $x^3 + x^2 +x + 1$
Answer:
Zero of polynomial $(x + 1)$ is -1.
If $(x + 1)$ is a factor of polynomial $p(x)=x^3 + x^2 +x + 1$
Then, $p(-1)$ must be equal to zero
Now,
$\Rightarrow p(-1)=(-1)^3+(-1)^2-1+1$
$\Rightarrow p(-1)=-1+1-1+1 = 0$
Therefore, $(x + 1)$ is a factor of polynomial $p(x)=x^3 + x^2 +x + 1$
Question 1(ii): Determine which of the following polynomials has $(x + 1)$ a factor : $x^4 + x^3 + x^2 +x + 1$
Answer:
Zero of polynomial $(x + 1)$ is -1.
If $(x + 1)$ is a factor of polynomial $p(x)=x^4 + x^3 + x^2 +x + 1$
Then, $p(-1)$ must be equal to zero
Now,
$\Rightarrow p(-1)=(-1)^4+(-1)^3+(-1)^2-1+1$
$\Rightarrow p(-1)=1-1+1-1+1 = 1\neq 0$
Therefore, $(x + 1)$ is not a factor of polynomial $p(x)=x^4 + x^3 + x^2 +x + 1$
Question 1(iii): Determine which of the following polynomials has $(x + 1)$ a factor : $x^4 + 3x^3 + 3x^2 +x + 1$
Answer:
Zero of polynomial $(x + 1)$ is -1.
If $(x + 1)$ is a factor of polynomial $p(x)=x^4 + 3x^3 + 3x^2 +x + 1$
Then, $p(-1)$ must be equal to zero
Now,
$\Rightarrow p(-1)=(-1)^4+3(-1)^3+3(-1)^2-1+1$
$\Rightarrow p(-1)=1-3+3-1+1 = 1\neq 0$
Therefore, $(x + 1)$ is not a factor of polynomial $p(x)=x^4 + 3x^3 + 3x^2 +x + 1$
Question 1 (iv): Determine which of the following polynomials has $(x + 1)$ a factor: $x^3 - x^2 -(2 + \sqrt2)x + \sqrt2$
Answer:
Zero of polynomial $(x + 1)$ is -1.
If $(x + 1)$ is a factor of polynomial $p(x)=x^3 - x^2 -(2 + \sqrt2)x + \sqrt2$
Then, $p(-1)$ must be equal to zero
Now,
$\Rightarrow p(-1)=(-1)^3-(-1)^2-(2+\sqrt2)(-1)+\sqrt2$
$\Rightarrow p(-1)=-1-1+2+\sqrt2+\sqrt2 = 2\sqrt2\neq 0$
Therefore, $(x + 1)$ is not a factor of polynomial $p(x)=x^3 - x^2 -(2 + \sqrt2)x + \sqrt2$
Question 2 (i): Use the Factor Theorem to determine whether g(x) is a factor of p(x) in the following case: $p(x) = 2x^3 + x^2 - 2x - 1,\ g(x) = x + 1$
Answer:
Zero of polynomial $g(x)=x+1$ is $-1$
If $g(x)=x+1$ is factor of polynomial $p(x) = 2x^3 + x^2 - 2x - 1$
Then, $p(-1)$ must be equal to zero
Now,
$\Rightarrow p(-1)= 2(-1)^3+(-1)^2-2(-1)-1$
$\Rightarrow p(-1)= -2+1+2-1 = 0$
Therefore, $g(x)=x+1$ is factor of polynomial $p(x) = 2x^3 + x^2 - 2x - 1$
Question 2 (ii): Use the Factor Theorem to determine whether g(x) is a factor of p(x) in the following case: $p(x) = x^3 + 3x^2 + 3x + 1, \ g(x) = x + 2$
Answer:
Zero of polynomial $g(x)=x+2$ is $-2$
If $g(x)=x+2$ is factor of polynomial $p(x) = x^3 + 3x^2 + 3x + 1$
Then, $p(-2)$ must be equal to zero
Now,
$\Rightarrow p(-2) = (-2)^3 + 3(-2)^2 + 3(-2) + 1$
$\Rightarrow p(-2)= -8+12-6+1 = -1\neq 0$
Therefore, $g(x)=x+2$ is not a factor of polynomial $p(x) = x^3 + 3x^2 + 3x + 1$
Question 2 (iii): Use the Factor Theorem to determine whether g(x) is a factor of p(x) in the following case: $p(x) = x^3 - 4x^2 + x + 6, \ g(x) = x - 3$
Answer:
Zero of polynomial $g(x)=x-3$ is $3$
If $g(x)=x-3$ is factor of polynomial $p(x) = x^3 - 4x^2 + x + 6$
Then, $p(3)$ must be equal to zero
Now,
$\Rightarrow p(3) = (3)^3 - 4(3)^2 + 3 + 6$
$\Rightarrow p(3) = 27-36+3+6=0$
Therefore, $g(x)=x-3$ is a factor of polynomial $p(x) = x^3 - 4x^2 + x + 6$
Question 3 (i): Find the value of k, if $x - 1$ is a factor of p(x) in the following case: $p(x) = x^2 + x + k$
Answer:
Zero of polynomial $x - 1$ is $1$
If $x - 1$ is factor of polynomial $p(x) = x^2 + x + k$
Then, $p(1)$ must be equal to zero
Now,
$\Rightarrow p(1) = (1)^2 + 1 + k$
$\Rightarrow p(1) =0$
$\Rightarrow 2+k = 0$
$\Rightarrow k = -2$
Therefore, the value of k is $-2$
Question 3 (ii): Find the value of k, if $x - 1$ is a factor of p(x) in the following case: $p(x) = 2x^2 + kx + \sqrt2$
Answer:
Zero of the polynomial $x - 1$ is $1$
If $x - 1$ is factor of polynomial $p(x) = 2x^2 + kx + \sqrt2$
Then, $p(1)$ must be equal to zero
Now,
$\Rightarrow p(1) = 2(1)^2 + k(1) + \sqrt2$
$\Rightarrow p(1) =0$
$\Rightarrow 2+k +\sqrt2= 0$
$\Rightarrow k = -(2+\sqrt2)$
Therefore, the value of k is $-(2+\sqrt2)$
Question 3 (iii): Find the value of k, if $x - 1$ is a factor of p(x) in the following case: $p(x) = kx^2-\sqrt2 x + 1$
Answer:
Zero of polynomial $x - 1$ is $1$
If $x - 1$ is factor of polynomial $p(x) = kx^2-\sqrt2 x + 1$
Then, $p(1)$ must be equal to zero
Now,
$\Rightarrow p(1) = k(1)^2 -\sqrt2(1) + 1$
$\Rightarrow p(1) =0$
$\Rightarrow k -\sqrt2 +1= 0$
$\Rightarrow k = -1+\sqrt2$
Therefore, the value of k is $-1+\sqrt2$
Question 3 (iv): the value of k, if $x - 1$ is a factor of p(x) in the following case: $p(x) = kx^2 -3 x + k$
Answer:
Zero of polynomial $x - 1$ is $1$
If $x - 1$ is factor of polynomial $p(x) = kx^2 -3 x + k$
Then, $p(1)$ must be equal to zero
Now,
$\Rightarrow p(1) = k(1)^2 -3(1) + k$
$\Rightarrow p(1) =0$
$\Rightarrow k -3+k= 0$
$\Rightarrow k = \frac{3}{2}$
Therefore, value of k is $\frac{3}{2}$
Question 4(i): Factorise : $12x^2 - 7x + 1$
Answer:
Given polynomial is $12x^2 - 7x + 1$
We need to factorise the middle term into two terms such that their product is equal to $12 \times 1 = 12$ and their sum is equal to $-7$
We can solve it as
$\Rightarrow 12x^2 - 7x + 1$
$\Rightarrow 12x^2-3x-4x+1$ $(\because -3 \times -4 = 12 \ \ and \ \ -3+(-4) = -7)$
$\Rightarrow 3x(4x-1)-1(4x-1)$
$\Rightarrow (3x-1)(4x-1)$
Question 4 (ii): Factorise: $2x^2 + 7x + 3$
Answer:
Given polynomial is $2x^2 + 7x + 3$
We need to factorise the middle term into two terms such that their product is equal to $2 \times 3 = 6$ and their sum is equal to $7$
We can solve it as
$\Rightarrow 12x^2 - 7x + 1$
$\Rightarrow 2x^2+6x+x+3$ $(\because 6 \times 1 = 6 \ \ and \ \ 6+1 = 7)$
$\Rightarrow 2x(x+3)+1(x+3)$
$\Rightarrow (2x+1)(x+3)$
Question 4 (iii): Factorise: $6x^2 +5x - 6$
Answer:
Given polynomial is $6x^2 +5x - 6$
We need to factorise the middle term into two terms such that their product is equal to $6 \times -6 =-3 6$ and their sum is equal to $5$
We can solve it as
$\Rightarrow 6x^2 +5x - 6$
$\Rightarrow 6x^2 +9x -4x - 6$ $(\because 9 \times -4 = -36 \ \ and \ \ 9+(-4) = 5)$
$\Rightarrow 3x(2x+3)-2(2x+3)$
$\Rightarrow (2x+3)(3x-2)$
Question 4 (iv): Factorise : $3x^2 - x - 4$
Answer:
Given polynomial is $3x^2 - x - 4$
We need to factorise the middle term into two terms such that their product is equal to $3 \times -4 =-12$ and their sum is equal to $-1$
We can solve it as
$\Rightarrow 3x^2 - x - 4$
$\Rightarrow 3x^2 -4 x+3x - 4$ $(\because 3 \times -4 = -12 \ \ and \ \ 3+(-4) = -1)$
$\Rightarrow x(3x-4)+1(3x-4)$
$\Rightarrow (x+1)(3x-4)$
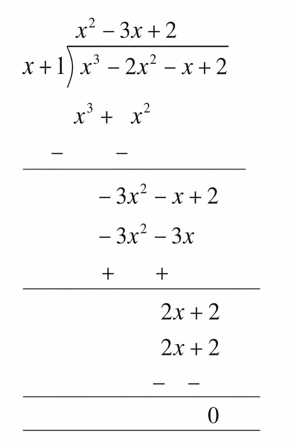
Question 5 (i): Factorise: $x^3 - 2x^2 - x +2$
Answer:
Given polynomial is $x^3 - 2x^2 - x +2$
Now, by the hit and trial method, we observed that $(x+1)$ is one of the factors of the given polynomial.
By the long division method, we will get

We know that Dividend = (Divisor × Quotient) + Remainder
$x^3 - 2x^2 - x +2 = (x+1)(x^2-3x+2)+0$
$= (x+1)(x^2-2x-x+2)$
$= (x+1)(x-2)(x-1)$
Therefore, on factorization of $x^3 - 2x^2 - x +2$ we will get $(x+1)(x-2)(x-1)$
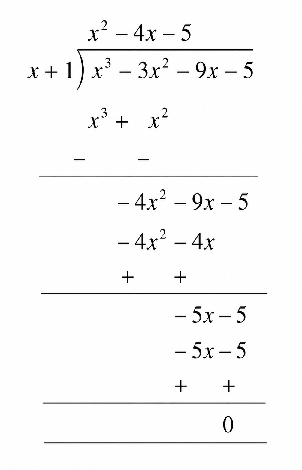
Question 5 (ii): Factorise : $x^3 - 3x^2 -9x -5$
Answer:
Given polynomial is $x^3 - 3x^2 -9x -5$
Now, by the hit-and-trial method, we observed that $(x+1)$ is one of the factors of the given polynomial.
By the long division method, we will get

We know that Dividend = (Divisor $\times$ Quotient) + Remainder
$x^3 - 3x^2 -9x -5=(x+1)(x^2-4x-5)$
$= (x+1)(x^2-5x+x-5)$
$= (x+1)(x-5)(x+1)$
Therefore, on factorization of $x^3 - 3x^2 -9x -5$ we will get $(x+1)(x-5)(x+1)$
Question 5 (iii): Factorise : $x^3 + 13x^2 + 32x + 20$
Answer:
Given polynomial is $x^3 + 13x^2 + 32x + 20$
Now, by the hit and trial method, we observed that $(x+1)$ is one of the factors of the given polynomial.
By the long division method, we will get

We know that Dividend = (Divisor $\times$ Quotient) + Remainder
$x^3 + 13x^2 + 32x + 20=(x+1)(x^2+12x+20)$
$= (x+1)(x^2+10x+2x+20)$
$= (x+1)(x+10)(x+2)$
Therefore, on factorization of $x^3 + 13x^2 + 32x + 20$ we will get $(x+1)(x+10)(x+2)$
Question 5(iv): Factorise : $2y^3 + y^2 - 2y - 1$
Answer:
Given polynomial is $2y^3 + y^2 - 2y - 1$
Now, by the hit and trial method, we observed that $(y-1)$ is one of the factors of the given polynomial.
By the long division method, we will get

We know that Dividend = (Divisor $\times$ Quotient) + Remainder
$2y^3 + y^2 - 2y - 1= (y-1)(2y^2+3y+1)$
$= (y-1)(2y^2+2y+y+1)$
$= (y-1)(2y+1)(y+1)$
Therefore, on factorization of $2y^3 + y^2 - 2y - 1$ we will get $(y-1)(2y+1)(y+1)$.
| Polynomials Class 9 Question Answers Exercise: 2.4 Page number: 40-42 Total questions: 16 |
Question 1 (i): Use suitable identities to find the following product: $(x + 4) ( x + 10)$
Answer:
We will use identity
$(x+a)(x+b)=x^2+(a+b)x+ab$
Put $a = 4 \ \ and \ \ b = 10$
$(x+4)(x+10)= x^2+(10+4)x+10\times 4$
$= x^2+14x+40$
Therefore, $(x + 4) ( x + 10)$ is equal to $x^2+14x+40$
Question 1 (ii): Use suitable identities to find the following product: $(x+8)(x-10)$
Answer:
We will use identity
$(x+a)(x+b)=x^2+(a+b)x+ab$
Put $a = 8 \ \ and \ \ b = -10$
$(x+8)(x-10)= x^2+(-10+8)x+8\times (-10)$
$= x^2-2x-80$
Therefore, $(x+8)(x-10)$ is equal to $x^2-2x-80$
Question 1 (iii): Use suitable identities to find the following product: $(3x+4)(3x - 5)$
Answer:
We can write $(3x+4)(3x - 5)$ as
$(3x+4)(3x - 5)= 9\left ( x+\frac{4}{3} \right )\left ( x-\frac{5}{3} \right )$
We will use identity
$(x+a)(x+b)=x^2+(a+b)x+ab$
Put $a = \frac{4}{3} \ \ and \ \ b = -\frac{5}{3}$
$9\left ( x+\frac{4}{3} \right )\left ( x-\frac{5}{3} \right )= 9\left ( x^2+\left ( \frac{4}{3}-\frac{5}{3} \right )x+\frac{4}{3} \times \left ( -\frac{5}{3} \right ) \right )$
$=9x^2-3x-20$
Therefore, $(3x+4)(3x - 5)$ is equal to $9x^2-3x-20$
Question 1 (iv): Use suitable identities to find the following product: $(y^2 + \frac{3}{2})(y^2 - \frac{3}{2})$
Answer:
We will use identity
$(x+a)(x-a)=x^2-a^2$
Put $x=y^2 \ \ and \ \ a = \frac{3}{2}$
$(y^2 + \frac{3}{2})(y^2 - \frac{3}{2}) = \left ( y^2 \right )^2-\left(\frac{3}{2} \right )^2$
$= y^4-\frac{9}{4}$
Therefore, $(y^2 + \frac{3}{2})(y^2 - \frac{3}{2})$ is equal to $y^4-\frac{9}{4}$
Question 1 (v): Use suitable identities to find the following product: $(3 - 2x) (3 + 2x)$
Answer:
We can write $(3 - 2x) (3 + 2x)$ as
$(3 - 2x) (3 + 2x)=-4\left ( x-\frac{3}{2} \right )\left(x+\frac{3}{2} \right )$
We will use identity
$(x+a)(x-a)=x^2-a^2$
Put $a = \frac{3}{2}$
$-4(x + \frac{3}{2})(x- \frac{3}{2}) =-4\left ( \left ( x \right )^2-\left(\frac{3}{2} \right )^2 \right )$
$=9-4x^2$
Therefore, $(3 - 2x) (3 + 2x)$ is equal to $9-4x^2$
Question 2 (i): Evaluate the following product without multiplying directly: $103 \times 107$
Answer:
We can rewrite $103 \times 107$ as
$\Rightarrow 103 \times 107= (100+3)\times (100+7)$
We will use identity
$(x+a)(x+b)=x^2+(a+b)x+ab$
Put $x =100 , a=3 \ \ and \ \ b = 7$
$(100+3)\times (100+7)= (100)^2+(3+7)100+3\times 7$
$=10000+1000+21= 11021$
Therefore, the value of $103 \times 107$ is $11021$
Question 2(ii): Evaluate the following product without multiplying directly: $95 \times 96$
Answer:
We can rewrite $95 \times 96$ as
$\Rightarrow 95 \times 96= (100-5)\times (100-4)$
We will use identity
$(x+a)(x+b)=x^2+(a+b)x+ab$
Put $x =100 , a=-5 \ \ and \ \ b = -4$
$(100-5)\times (100-4)= (100)^2+(-5-4)100+(-5)\times (-4)$
$=10000-900+20= 9120$
Therefore, the value of $95 \times 96$ is $9120$
Question 2 (iii): Evaluate the following product without multiplying directly: $104 \times 96$
Answer:
We can rewrite $104 \times 96$ as
$\Rightarrow 104 \times 96= (100+4)\times (100-4)$
We will use identity
$(x+a)(x-a)=x^2-a^2$
Put $x =100 \ \ and \ \ a=4$
$(100+4)\times (100-4)= (100)^2-(4)^2$
$=10000-16= 9984$
Therefore, value of $104 \times 96$ is $9984$
Question 3 (i): Factorise the following using appropriate identities: $9x^2 + 6xy + y^2$
Answer:
We can rewrite $9x^2 + 6xy + y^2$ as
$\Rightarrow 9x^2 + 6xy + y^2 = (3x)^2+2\times 3x\times y +(y)^2$
Using identity $\Rightarrow (a+b)^2 = (a)^2+2\times a\times b +(b)^2$
Here, $a= 3x \ \ and \ \ b = y$
Therefore,
$9x^2+6xy+y^2 = (3x+y)^2 = (3x+y)(3x+y)$
Question 3 (ii): Factorise the following using appropriate identities: $4y^2 - 4y + 1$
Answer:
We can rewrite $4y^2 - 4y + 1$ as
$\Rightarrow 4y^2 - 4y + 1=(2y)^2-2\times2y\times 1+(1)^2$
Using identity $\Rightarrow (a-b)^2 = (a)^2-2\times a\times b +(b)^2$
Here, $a= 2y \ \ and \ \ b = 1$
Therefore,
$4y^2 - 4y + 1=(2y-1)^2=(2y-1)(2y-1)$
Question 3 (iii): Factorise the following using appropriate identities: $x^2 - \frac{y^2}{100}$
Answer:
We can rewrite $x^2 - \frac{y^2}{100}$ as
$\Rightarrow x^2 - \frac{y^2}{100} = (x)^2-\left(\frac{y}{10} \right )^2$
Using identity $\Rightarrow a^2-b^2 = (a-b)(a+b)$
Here, $a= x \ \ and \ \ b = \frac{y}{10}$
Therefore,
$x^2 - \frac{y^2}{100} = \left ( x-\frac{y}{10} \right )\left ( x+\frac{y}{10} \right )$
Question 4 (i): Expand each of the following, using suitable identities: $(x + 2y+4z)^2$
Answer:
Given is $(x + 2y+4z)^2$
We will use identity
$(a+b+c)^2=a^2+b^2+c^2+2ab+2bc+2ca$
Here, $a = x , b = 2y \ \ and \ \ c = 4z$
Therefore,
$(x + 2y+4z)^2 = (x)^2+(2y)^2+(4z)^2+2.x.2y+2.2y.4z+2.4z.x$
$= x^2+4y^2+16z^2+4xy+16yz+8zx$
Question 4 (ii): Expand each of the following, using suitable identities: $(2x - y + z)^2$
Answer:
Given is $(2x - y + z)^2$
We will use identity
$(a+b+c)^2=a^2+b^2+c^2+2ab+2bc+2ca$
Here, $a = 2x , b = -y \ \ and \ \ c = z$
Therefore,
$(2x -y+z)^2 = (2x)^2+(-y)^2+(z)^2+2.2x.(-y)+2.(-y).z+2.z.2x$
$= 4x^2+y^2+z^2-4xy-2yz+4zx$
Question 4 (iii): Expand each of the following, using suitable identities: $(-2x + 3y + 2z)^2$
Answer:
Given is $(-2x + 3y + 2z)^2$
We will use identity
$(a+b+c)^2=a^2+b^2+c^2+2ab+2bc+2ca$
Here, $a =- 2x , b = 3y \ \ and \ \ c = 2z$
Therefore,
$(-2x +3y+2z)^2 = (-2x)^2+(3y)^2+(2z)^2+2.(-2x).3y+2.3y.2z+2.z.(-2x)$
$= 4x^2+9y^2+4z^2-12xy+12yz-8zx$
Question 4(iv): Expand each of the following, using suitable identities: $(3a - 7b - c)^2$
Answer:
Given is $(3a - 7b - c)^2$
We will use identity
$(x+y+z)^2=x^2+y^2+z^2+2xy+2yz+2zx$
Here, $x =3a , y = -7b \ \ and \ \ z = -c$
Therefore,
$(3a - 7b - c)^2=(3a)^2+(-7b)^2+(-c)^2+2.3a.(-7b)+2.(-7b).(-c)+2.(-c)$ $.3a$
$= 9a^2+49b^2+c^2-42ab+14bc-6ca$
Question 4 (v): Expand each of the following, using suitable identities: $(-2x + 5y -3z)^2$
Answer:
Given is $(-2x + 5y -3z)^2$
We will use identity
$(a+b+c)^2=a^2+b^2+c^2+2ab+2bc+2ca$
Here, $a =- 2x , b = 5y \ \ and \ \ c = -3z$
Therefore,
$(-2x +5y-3z)^2$ $= (-2x)^2+(5y)^2+(-3z)^2+2.(-2x).5y+2.5y.(-3z)+2.(-3z).(-2x)$
$= 4x^2+25y^2+9z^2-20xy-30yz+12zx$
Question 4 (vi): Expand each of the following, using suitable identities: $\left [\frac{1}{4}a - \frac{1}{2}b + 1\right ]^2$
Answer:
Given is $\left [\frac{1}{4}a - \frac{1}{2}b + 1\right ]^2$
We will use identity
$(x+y+z)^2=x^2+y^2+z^2+2xy+2yz+2zx$
Here, $x =\frac{a}{4} , y = -\frac{b}{2} \ \ and \ \ z = 1$
Therefore,
$\left [\frac{1}{4}a - \frac{1}{2}b + 1\right ]^2$ $=\left(\frac{a}{4} \right )^2+\left(-\frac{b}{2} \right )^2+(1)^2+2.\left(\frac{a}{4} \right ). \left(-\frac{b}{2} \right )+2. \left(-\frac{b}{2} \right ).1+2.1.\left(\frac{a}{4} \right )$
$= \frac{a^2}{16}+\frac{b^2}{4}+1-\frac{ab}{4}-b+\frac{a}{2}$
Question 5 (i): Factorise: $4x^2 +9y^2 +16z^2 + 12xy -24yz - 16xz$
Answer:
We can rewrite $4x^2 +9y^2 +16z^2 + 12xy -24yz - 16xz$ as
$\Rightarrow 4x^2 +9y^2 +16z^2 + 12xy -24yz - 16xz$ $= (2x)^2+(3y)^2+(-4z)^2+2.2x.3y+2.3y.(-4z)+2.(-4z).2x$
We will use identity
$(a+b+c)^2=a^2+b^2+c^2+2ab+2bc+2ca$
Here, $a = 2x , b = 3y \ \ and \ \ c = -4z$
Therefore,
$4x^2 +9y^2 +16z^2 + 12xy -24yz - 16xz = (2x+3y-4z)^2$
$= (2x+3y-4z)(2x+3y-4z)$
Question 5 (ii): Factorise: $2x^2 + y^2 +8z^2 - 2\sqrt2 xy + 4\sqrt2 yz - 8xz$
Answer:
We can rewrite $2x^2 + y^2 +8z^2 - 2\sqrt2 xy + 4\sqrt2 yz - 8xz$ as
$\Rightarrow 2x^2 + y^2 +8z^2 - 2\sqrt2 xy + 4\sqrt2 yz - 8xz$ $= (-\sqrt2x)^2+(y)^2+(2\sqrt2z)^2+2.(-\sqrt2).y+2.y.2\sqrt2z+2.(-\sqrt2x).2\sqrt2z$
We will use identity
$(a+b+c)^2=a^2+b^2+c^2+2ab+2bc+2ca$
Here, $a = -\sqrt2x , b = y \ \ and \ \ c = 2\sqrt2z$
Therefore,
$2x^2 + y^2 +8z^2 - 2\sqrt2 xy + 4\sqrt2 yz - 8xz=(-\sqrt2x+y+2\sqrt2z)^2$
$=(-\sqrt2x+y+2\sqrt2z)(-\sqrt2x+y+2\sqrt2z)$
Question 6 (i): Write the following cubes in expanded form: $(2x + 1)^3$
Answer:
Given is $(2x + 1)^3$
We will use identity
$(a+b)^3=a^3+b^3+3a^2b+3ab^2$
Here, $a= 2x \ \ and \ \ b= 1$
Therefore,
$(2x+1)^3=(2x)^3+(1)^3+3.(2x)^2.1+3.2x.(1)^2$
$= 8x^3+1+12x^2+6x$
Question 6 (ii): Write the following cube in expanded form: $(2a-3b)^3$
Answer:
Given is $(2a-3b)^3$
We will use identity
$(x-y)^3=x^3-y^3-3x^2y+3xy^2$
Here, $x= 2a \ \ and \ \ y= 3b$
Therefore,
$(2a-3b)^3=(2a)^3-(3b)^3-3.(2a)^2.3b+3.2a.(3b)^2$
$= 8a^3-9b^3-36a^2b+54ab^2$
Question 6 (iii): Write the following cube in expanded form: $\left[\frac{3}{2}x + 1\right ]^3$
Answer:
Given is $\left[\frac{3}{2}x + 1\right ]^3$
We will use identity
$(a+b)^3=a^3+b^3+3a^2b+3ab^2$
Here, $a= \frac{3x}{2} \ \ and \ \ b= 1$
Therefore,
$\left(\frac{3x}{2}+1 \right )^3= \left(\frac{3x}{2} \right )^3+(1)^3+3.\left(\frac{3x}{2} \right )^2.1+3.\frac{3x}{2}.(1)^2$
$= \frac{27x^3}{8}+1+\frac{27x^2}{4}+\frac{9x}{2}$
Question 6 (iv): Write the following cube in expanded form: $\left[x - \frac{2}{3} y\right ]^3$
Answer:
Given is $\left[x - \frac{2}{3} y\right ]^3$
We will use identity
$(a-b)^3=a^3-b^3-3a^2b+3ab^2$
Here, $a=x \ and \ \ b= \frac{2y}{3}$
Therefore,
$\left[x - \frac{2}{3} y\right ]^3 = x^3-\left(\frac{2y}{3} \right )^3-3.x^2.\frac{2y}{3}+3.x.\left(\frac{2y}{3} \right )^2$
$= x^3-\frac{8y^3}{27}-2x^2y+\frac{4xy^2}{3}$
Question 7 (i): Evaluate the following using suitable identities: $(99)^3$
Answer:
We can rewrite $(99)^3$ as
$\Rightarrow (99)^3=(100-1)^3$
We will use identity
$(a-b)^3=a^3-b^3-3a^2b+3ab^2$
Here, $a=100 \ and \ \ b= 1$
Therefore,
$(100-1)^1=(100)^3-(1)^3-3.(100)^2.1+3.100.1^2$
$= 1000000-1-30000+300= 970299$
Question 7 (ii): Evaluate the following using suitable identities: $(102)^3$
Answer:
We can rewrite $(102)^3$ as
$\Rightarrow (102)^3=(100+2)^3$
We will use identity
$(a+b)^3=a^3+b^3+3a^2b+3ab^2$
Here, $a=100 \ and \ \ b= 2$
Therefore,
$(100+2)^1=(100)^3+(2)^3+3.(100)^2.2+3.100.2^2$
$= 1000000+8+60000+1200= 1061208$
Question 7 (iii): Evaluate the following using suitable identities: $(998)^3$
Answer:
We can rewrite $(998)^3$ as
$\Rightarrow (998)^3=(1000-2)^3$
We will use identity
$(a-b)^3=a^3-b^3-3a^2b+3ab^2$
Here, $a=1000 \ and \ \ b= 2$
Therefore,
$(1000-2)^1=(1000)^3-(2)^3-3.(0100)^2.2+3.1000.2^2$
$= 1000000000-8-6000000+12000= 994011992$
Question 8 (i): Factorise the following: $8a^3 + b^3 + 12a^2 b + 6ab^2$
Answer:
We can rewrite $8a^3 + b^3 + 12a^2 b + 6ab^2$ as
$\Rightarrow 8a^3 + b^3 + 12a^2 b + 6ab^2$ $= (2a)^3+(b)^3+3.(2a)^2.b+3.2a.(b)^2$
We will use identity
$(x+y)^3=x^3+y^3+3x^2y+3xy^2$
Here, $x=2a \ \ and \ \ y= b$
Therefore,
$8a^3 + b^3 + 12a^2 b + 6ab^2 = (2a+b)^3$
$=(2a+b)(2a+b)(2a+b)$
Question 8 (ii): Factorise the following: $8a ^3 - b^3 - 12a^2 b + 6ab^2$
Answer:
We can rewrite $8a ^3 - b^3 - 12a^2 b + 6ab^2$ as
$\Rightarrow 8a ^3 - b^3 - 12a^2 b + 6ab^2$ $= (2a)^3-(b)^3-3.(2a)^2.b+3.2a.(b)^2$
We will use identity
$(x-y)^3=x^3-y^3-3x^2y+3xy^2$
Here, $x=2a \ \ and \ \ y= b$
Therefore,
$8a ^3 - b^3 - 12a^2 b + 6ab^2 =(2a-b)^3$
$=(2a-b)(2a-b)(2a-b)$
Question 8 (iii): Factorise the following: $27 - 125a^ 3 - 135a + 225a^2$
Answer:
We can rewrite $27 - 125a^ 3 - 135a + 225a^2$ as
$\Rightarrow 27 - 125a^ 3 - 135a + 225a^2$ $= (3)^3-(25a)^3-3.(3)^2.5a+3.3.(5a)^2$
We will use identity
$(x-y)^3=x^3-y^3-3x^2y+3xy^2$
Here, $x=3 \ \ and \ \ y= 5a$
Therefore,
$27 - 125a^ 3 - 135a + 225a^2 = (3-5a)^3$
$=(3-5a)(3-5a)(3-5a)$
Question 8 (iv): Factorise the following: $64a^3 - 27b^3 - 144a^2 b + 108ab^2$
Answer:
We can rewrite $64a^3 - 27b^3 - 144a^2 b + 108ab^2$ as
$\Rightarrow 64a^3 - 27b^3 - 144a^2 b + 108ab^2$ $= (4a)^3-(3b)^3-3.(4a)^2.3b+3.4a.(3b)^2$
We will use identity
$(x-y)^3=x^3-y^3-3x^2y+3xy^2$
Here, $x=4a \ \ and \ \ y= 3b$
Therefore,
$64a^3 - 27b^3 - 144a^2 b + 108ab^2=(4a-3b)^2$
$=(4a-3b)(4a-3b)(4a-3b)$
Question 8(v): Factorise the following: $27p^3 - \frac{1}{216} - \frac{9}{2}p^2 + \frac{1}{4} p$
Answer:
We can rewrite $27p^3 - \frac{1}{216} - \frac{9}{2}p^2 + \frac{1}{4} p$ as
$\Rightarrow 27p^3 - \frac{1}{216} - \frac{9}{2}p^2 + \frac{1}{4} p$ $= (3p)^3-\left(\frac{1}{6} \right )^3-3.(3p)^2.\frac{1}{6}+3.3p.\left(\frac{1}{6} \right )^2$
We will use identity
$(x-y)^3=x^3-y^3-3x^2y+3xy^2$
Here, $x=3p \ \ and \ \ y= \frac{1}{6}$
Therefore,
$27p^3 - \frac{1}{216} - \frac{9}{2}p^2 + \frac{1}{4} p = \left ( 3p-\frac{1}{6} \right )^3$
$= \left ( 3p-\frac{1}{6} \right ) \left ( 3p-\frac{1}{6} \right ) \left ( 3p-\frac{1}{6} \right )$
Question 9. (i) Verify: $x^3 + y^3 = (x +y)(x^2 - xy + y^2)$
Answer:
We know that
$(x+y)^3=x^3+y^3+3xy(x+y)$
Now,
$\Rightarrow x^3+y^3=(x+y)^3-3xy(x+y)$
$\Rightarrow x^3+y^3=(x+y)\left((x+y)^2-3xy \right )$
$\Rightarrow x^3+y^3=(x+y)\left(x^2+y^2+2xy-3xy \right )$ $(\because (a+b)^2=a^2+b^2+2ab)$
$\Rightarrow x^3+y^3=(x+y)\left(x^2+y^2-xy \right )$
Hence proved.
Question 9 (ii): Verify: $x^3 - y^3 = (x -y)(x^2 + xy + y^2)$
Answer:
We know that
$(x-y)^3=x^3-y^3-3xy(x-y)$
Now,
$\Rightarrow x^3-y^3=(x-y)^3+3xy(x-y)$
$\Rightarrow x^3-y^3=(x-y)\left((x-y)^2+3xy \right )$
$\Rightarrow x^3-y^3=(x-y)\left(x^2+y^2-2xy+3xy \right )$ $(\because (a-b)^2=a^2+b^2-2ab)$
$\Rightarrow x^3-y^3=(x-y)\left(x^2+y^2+xy \right )$
Hence proved.
Question 10(i:) Factorise the following: $27y^3 + 125z^3$
Answer:
We know that
$a^3+b^3=(a+b)(a^2+b^2-ab)$
Now, we can write $27y^3 + 125z^3$ as
$\Rightarrow 27y^3 + 125z^3 = (3y)^3+(5z)^3$
Here, $a = 3y \ \ and \ \ b = 5z$
Therefore,
$27y^3+125z^3= (3y+5z)\left((3y)^2+(5z)^2-3y.5z \right )$
$27y^3+125z^3= (3y+5z)\left(9y^2+25z^2-15yz \right )$
Question 10 (ii): Factorise the following: $64m^3 - 343n^3$
Answer:
We know that
$a^3-b^3=(a-b)(a^2+b^2+ab)$
Now, we can write $64m^3 - 343n^3$ as
$\Rightarrow 64m^3 - 343n^3 = (4m)^3-(7n)^3$
Here, $a = 4m \ \ and \ \ b = 7n$
Therefore,
$64m^3-343n^3= (4m-7n)\left((4m)^2+(7n)^2+4m.7n \right )$
$64m^3-343n^3= (4m-7n)\left(16m^2+49n^2+28mn \right )$
Question 11: Factorise: $27x^3 + y^3 + z^3 - 9xyz$
Answer:
Given is $27x^3 + y^3 + z^3 - 9xyz$
Now, we know that
$a^3+b^3+c^3-3abc = (a+b+c)(a^2+b^2+c^2-ab-bc-ca)$
Now, we can write $27x^3 + y^3 + z^3 - 9xyz$ as
$\Rightarrow 27x^3 + y^3 + z^3 - 9xyz$ $=(3x)^3+(y)^3+(z)^3-3.3x.y.z$
Here, $a= 3x , b = y \ \ and \ \ c = z$
Therefore,
$27x^3 + y^3 + z^3 - 9xyz$ $=(3x+y+z)\left((3x)^2+(y)^2+(z)^2-3x.y-y.z-z.3x \right )$
$=(3x+y+z)\left(9x^2+y^2+z^2-3xy-yz-3zx \right )$.
Question 12:Verify that $x^3 + y^3 + z^3 -3xyz = \frac{1}{2} ( x + y + z)\left[(x-y)^2 + (y-z)^2 + (z-x)^2 \right ]$
Answer:
We know that
$x^3+y^3+z^3-3xyz = (x+y+z)(x^2+y^2+z^2-xy-yz-zx)$
Now, multiply and divide the R.H.S. by 2
$x^3+y^3+z^3-3xyz = \frac{1}{2}(x+y+z)(2x^2+2y^2+2z^2-2xy-2yz-2zx)$
$= \frac{1}{2}(x+y+z)(x^2+y^2-2xy+x^2+z^2-2zx+y^2+z^2-2yz)$
$= \frac{1}{2}(x+y+z)\left((x-y)^2+(y-z)^2 +(z-x)^2\right )$ $\left(\because a^2+b^2-2ab=(a-b)^2 \right )$
Hence proved.
Question 13: If $x + y + z = 0$ , show that $x^3 + y^3 + z^3 = 3xyz$ .
Answer:
We know that
$x^3+y^3+z^3-3xyz = (x+y+z)(x^2+y^2+z^2-xy-yz-zx)$
Now, It is given that $x + y + z = 0$
Therefore,
$x^3+y^3+z^3-3xyz =0(x^2+y^2+z^2-xy-yz-zx)$
$x^3+y^3+z^3-3xyz =0$
$x^3+y^3+z^3=3xyz$
Hence proved.
Question 14 (i): Without actually calculating the cubes, find the value of each of the following: $(-12)^3 + (7)^3 + (5)^3$
Answer:
Given is $(-12)^3 + (7)^3 + (5)^3$
We know that
If $x+y+z = 0$ then , $x^3+y^3+z^3 = 3xyz$
Here, $x = -12 , y = 7 \ \ and \ \ z = 5$
$\Rightarrow x+y+z = -12+7+5 = 0$
Therefore,
$(-12)^3 + (7)^3 + (5)^3 = 3 \times (-12)\times 7 \times 5 = -1260$
Therefore, value of $(-12)^3 + (7)^3 + (5)^3$ is $-1260$
Question 14 (ii): Without actually calculating the cubes, find the value of the following: $(28)^3 + (-15)^3 + (-13)^3$
Answer:
Given is $(28)^3 + (-15)^3 + (-13)^3$
We know that
If $x+y+z = 0$ then , $x^3+y^3+z^3 = 3xyz$
Here, $x = 28 , y = -15 \ \ and \ \ z = -13$
$\Rightarrow x+y+z =28-15-13 = 0$
Therefore,
$(28)^3 + (-15)^3 + (-13)^3 = 3 \times (28)\times (-15) \times (-13) = 16380$
Therefore, value of $(28)^3 + (-15)^3 + (-13)^3$ is $16380$
Question 15 (i): Give possible expressions for the length and breadth of the following rectangle, in which its area is given: $25a^2 - 35a + 12$
Answer:
We know that
Area of rectangle is = $length \times breadth$
It is given that area = $25a^2-35a+12$
Now, by the splitting middle term method
$\Rightarrow 25a^2-35a+12 = 25a^2-20a-15a+12$
$= 5a(5a-4)-3(5a-4)$
$= (5a-3)(5a-4)$
Therefore, two answers are possible
case (i) :- Length = $(5a-4)$ and Breadth = $(5a-3)$
case (ii) :- Length = $(5a-3)$ and Breadth = $(5a-4)$
Question 15 (ii): Give possible expressions for the length and breadth of the following rectangle, in which its area is given: $35y^2 + 13y- 12$
Answer:
We know that
Area of rectangle is = $length \times breadth$
It is given that area = $35y^2 + 13y- 12$
Now, by the splitting the middle term method
$\Rightarrow 35y^2 + 13y- 12 =35y^2+28y-15y-12$
$= 7y(5y+4)-3(5y+4)$
$= (7y-3)(5y+4)$
Therefore, two answers are possible
case (i) :- Length = $(5y+4)$ and Breadth = $(7y-3)$
case (ii) :- Length = $(7y-3)$ and Breadth = $(5y+4)$
Question 16 (i): What are the possible expressions for the dimensions of the cuboid whose volumes is given below Volume : $3x^2 - 12x$?
Answer:
We know that
Volume of cuboid is = $length \times breadth \times height$
It is given that volume = $3x^2-12x$
Now,
$\Rightarrow 3x^2-12x=3\times x\times (x-4)$
Therefore, one of the possible answers is possible
Length = $3$ and Breadth = $x$ and Height = $(x-4)$
Question 16 (ii): What are the possible expressions for the dimensions of the cuboid whose volumes is given below Volume : $12ky^2 + 8ky - 20k$?
Answer:
We know that
Volume of cuboid is = $length \times breadth \times height$
It is given that volume = $12ky^2+8ky-20k$
Now,
$\Rightarrow 12ky^2+8ky-20k = k(12y^2+8y-20)$
$= k(12y^2+20y-12y-20)$
$= k\left(4y(3y+5)-4(3y+5) \right )$
$= k(3y+5)(4y-4)$
$= 4k(3y+5)(y-1)$
Therefore, one of the answers is possible
Length = $4k$ and Breadth = $(3y+5)$ and Height = $(y-1)$.
Exercise-wise NCERT Solutions of Polynomials Class 9 Maths Chapter 2 are provided in the link below.
Question 1: Find the value of $ k $ if $ x - 2 $ is a factor of the polynomial $ p(x) = x^3 - 4x^2 + kx + 8 $.
Solution:
Since $x - 2 $ is a factor of $p(x)$, by the Factor Theorem:
Therefore, $p(2) = 0$
Substitute $ x = 2 $ into $ p(x) $:
$p(2) = (2)^3 - 4(2)^2 + 2k + 8 = 8 - 16 + 2k + 8 = 0$
$0 = 0 + 2k \Rightarrow 2k = 0 \Rightarrow k = 0$
Question 2:
What is the value of $\frac{4x^2+9y^2+12xy}{144}$?
Solution:
$\frac{4x^2+9y^2+12xy}{144}$
= $\frac{x^2}{36} +\frac{y^2}{16}+\frac{xy}{12}$
= $\frac{x^2}{36} +\frac{y^2}{16}+2×\frac{x}{6}×\frac{y}{4}$
= $(\frac{x}{6} + \frac{y}{4})^2$
Hence, the correct answer is $(\frac{x}{6} + \frac{y}{4})^2$.
Question 3:
If $x^2+\frac{1}{x^2}=7$, then what is the value of $x^3+\frac{1}{x^3}$?
Solution:
$x^2+\frac{1}{x^2}=7$
Adding 2 on both sides, we get,
⇒ $(x+\frac{1}{x})^2 - 2 × x × \frac{1}{x} = 7+2$
⇒ $(x+\frac{1}{x})^2 = 9$
⇒ $x+\frac{1}{x} = 3$
cubing on both sides, we get,
⇒ $(x+\frac{1}{x})^3 = 3^3$
⇒ $x^3 + \frac{1}{x^3} + 3 × x × \frac{1}{x}(x+\frac{1}{x}) = 27$
⇒ $x^3 + \frac{1}{x^3} + 3 × 3 = 27$
$\therefore x^3 + \frac{1}{x^3} =18$
Hence, the correct answer is 18.
Question 4:
If $a + b + c = 6$ and $a^2+b^2+c^2=40$, then what is the value of $a^3+b^3+c^3-3abc$?
Solution:
Given that $a + b + c = 6$ and $a^2+b^2+c^2=40$,
$(a+b+c)^2 = a^2 + b^2 + c^2 + 2(ab+bc+ac)$.
$⇒6^2 = 40 + 2(ab+bc+ac)$
$⇒ab+bc+ac = -2$
$a^3+b^3+c^3-3abc=(a+b+c)(a^2+b^2+c^2-ab-bc-ac)$
$⇒a^3+b^3+c^3-3abc=6 \times (40 +2)$
$⇒a^3+b^3+c^3-3abc=6 \times 42 $
$⇒a^3+b^3+c^3-3abc=252 $
Hence, the correct answer is 252.
Question 5:
If $a^4+\frac{1}{a^4}=194$, then what is the value of $a^3+\frac{1}{a^3} ?$
Solution:
Given: $a^4+\frac{1}{a^4}=194$
Adding 2 to both sides, we get:
⇒ $a^4+\frac{1}{a^4}+2=194+2$
Now,
⇒ $(a^2+\frac{1}{a^2})^2=14^2$
⇒ $(a^2+\frac{1}{a^2})=14$
Again, adding 2 to both sides, we get:
⇒ $a^2+\frac{1}{a^2}+2=14+2$
⇒ $(a+\frac{1}{a})^2=4^2$
⇒ $a+\frac{1}{a}=4$
Now, cubing both sides, we get:
$a^3+\frac{1}{a^3}+3×a×\frac{1}{a}(a+\frac{1}{a})=64$
⇒ $a^3+\frac{1}{a}^3+3\times 4 = 64$
⇒ $a^3+\frac{1}{a^3}=52$
Hence, the correct answer is 52.
Also, read,
Students will explore the following topics in NCERT Class 9 Maths Chapter 2 Polynomials:
Also, check,
The general form of a polynomial is:
$p(x)=a_n x^n+a_{n-1} x^{n-1}+\ldots+a_1 x+a_0=$ 0,
where
$a_n, a_{n-1}, \ldots, a_1, a_0$ are are constants, and $a_n ≠ 0$
Every one-variable linear polynomial will contain a unique zero, which is a real number that is a zero of the zero polynomial, and a non-zero constant polynomial that does not have any zeros.
Remainder Theorem:
If p(x) has a degree greater than or equal to 1, and you divide p(x) by the linear polynomial (x - a), the remainder will be p(a).
Factor Theorem:
The linear polynomial $(x-a)$ will be a factor of the polynomial p(x) whenever p(a) = 0. Similarly, if $(x-a)$ is a factor of p(x), then p(a) = 0.
Using these approaches, students can tackle the Polynomials Class 9 Chapter 2 Question Answers with greater confidence.
1. Understand the definition and types of polynomials: To start effective classification of polynomials, you must first understand their definitions, along with their degrees and coefficients and linear, quadratic, and cubic types.
2. Learn how to evaluate polynomials: The substitution of values within polynomial expressions helps users evaluate their outcomes, which remains a necessary skill for tackling intricacies in problem-solving.
3. Use the Remainder Theorem: The Remainder Theorem helps determine the remainder outcome when dividing a given polynomial by a linear expression in the form x−a.
4. Master the Factor Theorem: The Factor Theorem allows users to determine linear binomials within polynomials while teaching methods to identify unknown values.
5. Perform algebraic factorisation: Students need to relate to polynomial factorisation through common algebraic patterns with strategies including the middle term separation and grouping techniques.
6. Identify and classify zeroes of polynomials: Study the methods to locate polynomial zeroes while understanding these values in connection to factors and graphical analysis.
Polynomials are an important part of algebra that help us understand patterns and solve equations. This chapter builds on what we already know about expressions and prepares us for more advanced maths in this class, as well as for higher classes. The Class 9 Maths Chapter 2 Polynomials question answers help you practise and understand each concept clearly. Here are some more points why understanding these question answers is important:
For students' preparation, Careers360 has gathered all Class 9 Maths NCERT solutions here for quick and convenient access.
Given below are some useful links for the NCERT books and the NCERT syllabus for class 9:
Frequently Asked Questions (FAQs)
The NCERT class 9 maths chapter 2 includes topics such as definition of a polynomial, zeroes, coefficient, degrees, and terms of a polynomial, different types of a polynomial, remainder and factor theorems, and the factorisation of polynomials. Students should practice these Polynomials Class 9 NCERT solutions to get an in-depth understanding of these concepts, which ultimately leads to scoring well in the exam.
There are 4 exercises covering problems based on definition, identities, and factorisation of polynomials.
NCERT Solutions for Class 9 Maths Chapter 2 use straightforward language to explain the concepts, making it understandable even for students who struggle with Mathematics. These solutions are meticulously crafted by a team of experts at Careers360 with the objective of helping students prepare for their board exams effectively.
Yes, since polynomials form the foundation of algebra, these Questions And Answers are helpful not only for school exams but also for exams like NTSE, Olympiads, and even later entrance tests. A team of skilled Math experts at Careers360 prepared these solutions.
Many educational platforms, such as Careers360, offer free downloadable PDFs of NCERT Polynomials Class 9 Solutions. Students can find the free downloadable PDF in this article itself.
A polynomial is an expression made up of variables, constants, and exponents, connected by addition, subtraction, or multiplication.
Example: 3x² + 5x + 6 = 0 is a polynomial where x is the variable.
Zeroes of a polynomial are the values of the variable for which the polynomial becomes zero.
Example: for p(x) = x² - 9, the zeroes are +3 and -3
The Remainder Theorem states that if a polynomial p(x) is divided by (x–a), then the remainder is p(a).
It’s a quick way to find remainders without long division.
Get Job Ready in Healthcare | Employability-Focused Programs
As per latest syllabus. Physics formulas, equations, & laws of class 11 & 12th chapters
As per latest syllabus. Chemistry formulas, equations, & laws of class 11 & 12th chapters
As per latest 2024 syllabus. Study 40% syllabus and score upto 100% marks in JEE
As per latest syllabus. Maths formulas, equations, & theorems of class 11 & 12th chapters