Class 11 Chemistry NCERT Chapter 9: Higher Order Thinking Skills (HOTS) Questions
These Higher Order Thinking Skills (HOTS) questions from this chapter will help students apply their concepts in real life situations. These class 11 chemistry chapter 9 hydrocarbons solutions are designed to improve critical thinking, problem-solving skills, and deepen understanding of the topic.
Question 1.Given below are two statements :
Statement (I) : On nitration of $m$-xylene with $\mathrm{HNO}_3, \mathrm{H}_2 \mathrm{SO}_4$ followed by oxidation, 4-nitrobenzene-1, 3-dicarboxylic acid is obtained as the major product.
Statement (II) : $\mathrm{CH}_3$ group is $\mathrm{o} / \mathrm{p}$-directing while$\mathrm{NO}_2$ group is m-directing group.
In light of the above statements, choose the correct answer from the options given below:
1) Both Statement I and Statement II are false
2) Statement I is false but Statement II is true
3) Both Statement I and Statement II are true
4) Statement I is true but Statement II is false
Answer:
Statement-I

Statement-II $-\mathrm{CH}_3$ group is $\mathrm{o} / \mathrm{p}$ directing while $-\mathrm{NO}_2$ group is meta directing.
Hence, the correct answer is option (3).
Question 2. Given below are two statements :
Statement I : Ozonolysis followed by treatment with $\mathrm{Zn}, \mathrm{H}_2 \mathrm{O}$ of cis-2-butene gives ethanal.
Statement II : The production obtained by ozonolysis followed by treatment with $\mathrm{Zn}, \mathrm{H}_2 \mathrm{O}$ of 3, 6-dimethyloct-4-ene has no chiral carbon atom.
In the light of the above statements, choose the correct answer from the options given below :
(1) Both Statement I and Statement II are true
(2) Statement I is false but Statement II are true
(3) Statement I is true but Statement II is false
(4) Both Statement I and Statement II are false
Answer:

Statement I: Correct statement
Statement II: Incorrect statement because the product has a chiral center.
Hence, the correct answer is option (3).
Question 3. Choose the correct set of reagents for the following conversion.

1) $\mathrm{Br}_2 / \mathrm{Fe} ; \mathrm{Cl}_2, \Delta$; alc. KOH
2) $\mathrm{Cl}_2 / \mathrm{Fe}$; $\mathrm{Br}_2 /$ anhy. $\mathrm{AlCl}_3$; aq. KOH
3) $\mathrm{Br}_2 /$ anhy. $\mathrm{AlCl}_3 ; \mathrm{Cl}_2, \Delta$; aq. KOH
4) $\mathrm{Cl}_2 /$ anhy. $\mathrm{AlCl}_3 ; \mathrm{Br}_2 / \mathrm{Fe}$; alc. KOH
Answer:
The first step is electrophilic aromatic substitution, in which bromination of ethylbenzene is done in the presence of iron. The second step is the free radical halogenation of the above obtained product, followed by an elimination reaction in the presence of alcoholic KOH, and the obtained product is 4-bromostyrene.

Hence, the correct answer is option (1).
Question 4. Which compound would give 3-methyl-6-oxoheptanal upon ozonolysis?
(1)

(2)

(3)

(4)

Answer:


3-methyl-6-oxoheptanal
Ozonolysis breaks the carbon–carbon double bonds in alkenes. Here, p-cymene undergoes ozonolysis, and the double bonds in the aromatic ring are cleaved. Each broken double bond is replaced by a carbonyl group (either an aldehyde or a ketone), resulting in a linear compound with aldehyde and ketone groups.
Hence, the correct answer is option (2).
Question 5: Benzene is treated with oleum to produce compound (X) which when further heated with molten sodium hydroxide followed by acidification produces compound (Y).The compound Y is treated with zinc metal to produce compound (Z).
Identify the structure of compound (Z) from the following option.
(1)

(2)

(3)

(4)

Answer:

Hence, the correct answer is option (2).
Question 6: Consider the following molecule ( X ).
The structure of X is 
$
\text { The major product formed when the given molecule }(X) \text { is treated with } \mathrm{HBr}(1 \mathrm{eq}) \text { is : }
$
(1)

(2)

(3)

(4)

Answer:

Hence, the correct answer is option (2).
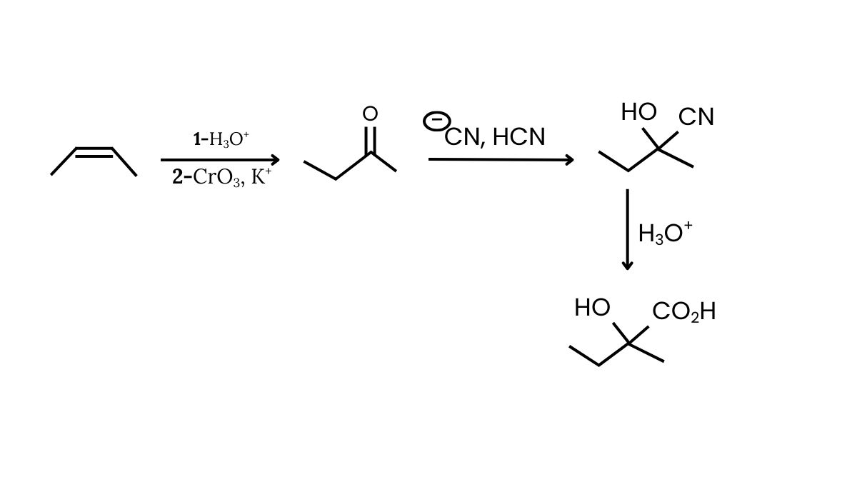
Question 7: For the following conversion, which set of reagents are required:
$
\text { But-2-ene } \longrightarrow \text { 2-hydroxy-2-methyl butanoic acid}
$
Select the correct set of reagent:
(1) $\mathrm{HBr} ;{ }^{\ominus} \mathrm{CN}, \mathrm{HCN}, \mathrm{H}_3 \mathrm{O}^{+}$
(2) $\mathrm{H}_3 \mathrm{O}^{+} ; \mathrm{CrO}_3, \mathrm{H}^{+} ;{ }^{\ominus} \mathrm{CN}, \mathrm{HCN} ; \mathrm{LiAlH}_4$
(3) $\mathrm{H}_3 \mathrm{O}^{\oplus} ; \mathrm{CrO}_3, \mathrm{H}^{\oplus} ;{ }^{\mathrm{-}} \mathrm{CN}, \mathrm{HCN} ; \mathrm{H}_3 \mathrm{O}^{\oplus}$
(4) $\mathrm{HBr} ; \mathrm{PCC} ;{ }^{\ominus} \mathrm{CN}, \mathrm{HCN} ; \mathrm{H}_2 / \mathrm{Pd}$
Answer:

Hence, the correct answer is option (3).
Question 8: In the reaction

The final product obtained shows that:
the nucleophilic attack occurs at the less substituted carbon, and inversion of configuration is observed at the carbon where ring opening takes place.
Which of the following correctly identifies the reagents X and Y?
(1) $\mathrm{X}=\mathrm{NaOCH}_3, \quad \mathrm{Y}=$ dilute acid
(2) X = CHMgBr, Y = dry ether
(3) X = conc. HSO, Y = HO
(4) X = AgO, Y = CHOH
Answer:
Alkene $\xrightarrow{\text { (i) } \mathrm{PhCO}_3 \mathrm{H}}$ Epoxide $\xrightarrow{\text { (ii) } \mathrm{X}}$ Intermediate $\xrightarrow{\text { (iii) } \mathrm{Y}}$ Final product

Hence, the correct answer is option (1).